Официальное опубликование правовых актов
ОФИЦИАЛЬНОЕ ОПУБЛИКОВАНИЕ
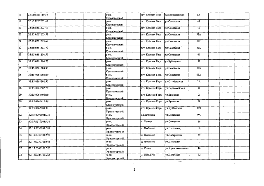
Приказ Управления имущественных отношений Брянской области от 18.02.2020 № 220
"О внесении изменений в приказ от 26.10.2016 №1267 "Об определении перечня объектов недвижимого имущества, расположенных на территории Красногорского района Брянской области, в отношении которых в 2017 году налоговая база определяется как их кадастровая стоимость"
Номер опубликования: 3201202002210014
Дата опубликования: 21.02.2020
Страница №4 из 7:
Увеличить