Приказ Управления имущественных отношений Брянской области от 26.12.2019 № 1778
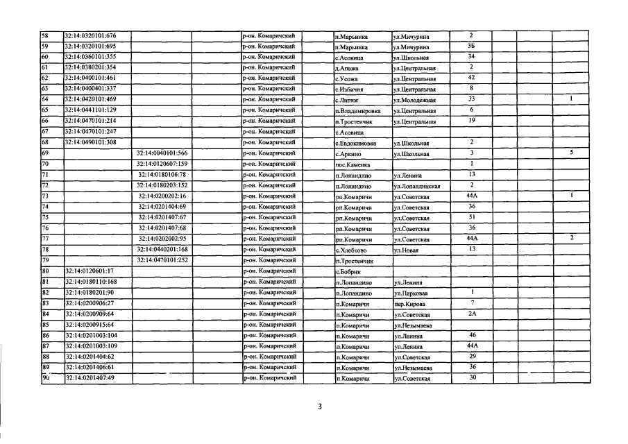
"О внесении изменений в приказ от 27.11.2017 №1З29 "Об определении перечня объектов недвижимого имущества, расположенных на территории Комаричского района Брянской области, в отношении которых в 2018 году налоговая база определяется как их кадастровая стоимость"
"О внесении изменений в приказ от 27.11.2017 №1З29 "Об определении перечня объектов недвижимого имущества, расположенных на территории Комаричского района Брянской области, в отношении которых в 2018 году налоговая база определяется как их кадастровая стоимость"
Номер опубликования: 3201201912300002
Дата опубликования:
30.12.2019
