Приказ Управления имущественных отношений Брянской области от 18.11.2019 № 1459
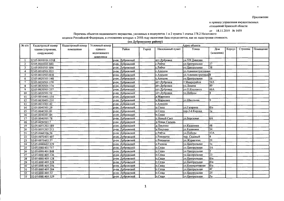
"О внесении изменений в приказ от 27.11.2017 №1338 "Об определении Перечня объектов недвижимого имущества, расположенных на территории Дубровского района Брянской области, в отношении которых в 2018 году налоговая база определяется как их кадастровая стоимость"
"О внесении изменений в приказ от 27.11.2017 №1338 "Об определении Перечня объектов недвижимого имущества, расположенных на территории Дубровского района Брянской области, в отношении которых в 2018 году налоговая база определяется как их кадастровая стоимость"
Номер опубликования: 3201201911200005
Дата опубликования:
20.11.2019
