Официальное опубликование правовых актов
ОФИЦИАЛЬНОЕ ОПУБЛИКОВАНИЕ
Приказ Управления имущественных отношений Брянской области от 04.09.2019 № 1160
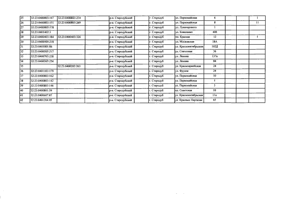
"О внесении изменений в приказ от 26.10.2016 №1255 "Об определении Перечня объектов недвижимого имущества, расположенных на территории города Стародуба Брянской области, в отношении которых в 2017 году налоговая база определяется как их кадастровая стоимость"
Номер опубликования: 3201201909090004
Дата опубликования: 09.09.2019
Страница №4 из 4:
Увеличить