Официальное опубликование правовых актов
ОФИЦИАЛЬНОЕ ОПУБЛИКОВАНИЕ
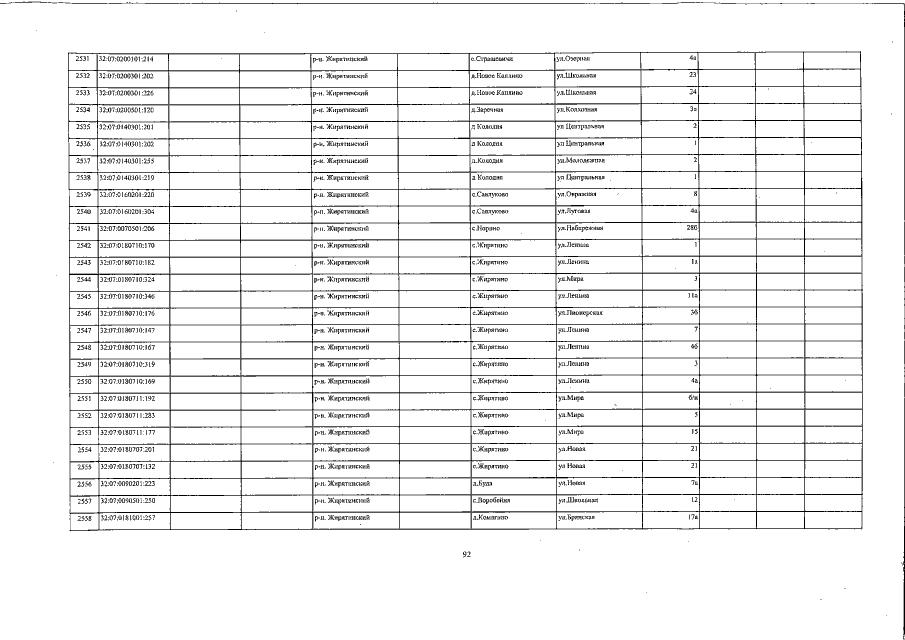
Приказ Управления имущественных отношений Брянской области от 30.07.2019 № 972
"О внесении изменений в приказ от 29.11.2018 №1512 "Об определении Перечня объектов недвижимого имущества, расположенных на территории Брянской области, в отношении которых в 2019 году налоговая база определяется как их кадастровая стоимость"
Номер опубликования: 3201201908070014
Дата опубликования: 07.08.2019
Страница №94 из 573:
Увеличить