Официальное опубликование правовых актов
ОФИЦИАЛЬНОЕ ОПУБЛИКОВАНИЕ
Приказ Управления имущественных отношений Брянской области от 24.06.2019 № 768
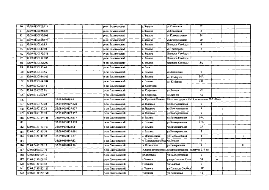
"О внесении изменений в приказ от 27.11.2017 №1334 "Об определении Перечня объектов недвижимого имущества, расположенных на территории Злынковского района Брянской области, в отношении которых в 2018 году налоговая база определяется как их кадастровая стоимость"
Номер опубликования: 3201201907030012
Дата опубликования: 03.07.2019
Страница №6 из 7:
Увеличить