Официальное опубликование правовых актов
ОФИЦИАЛЬНОЕ ОПУБЛИКОВАНИЕ
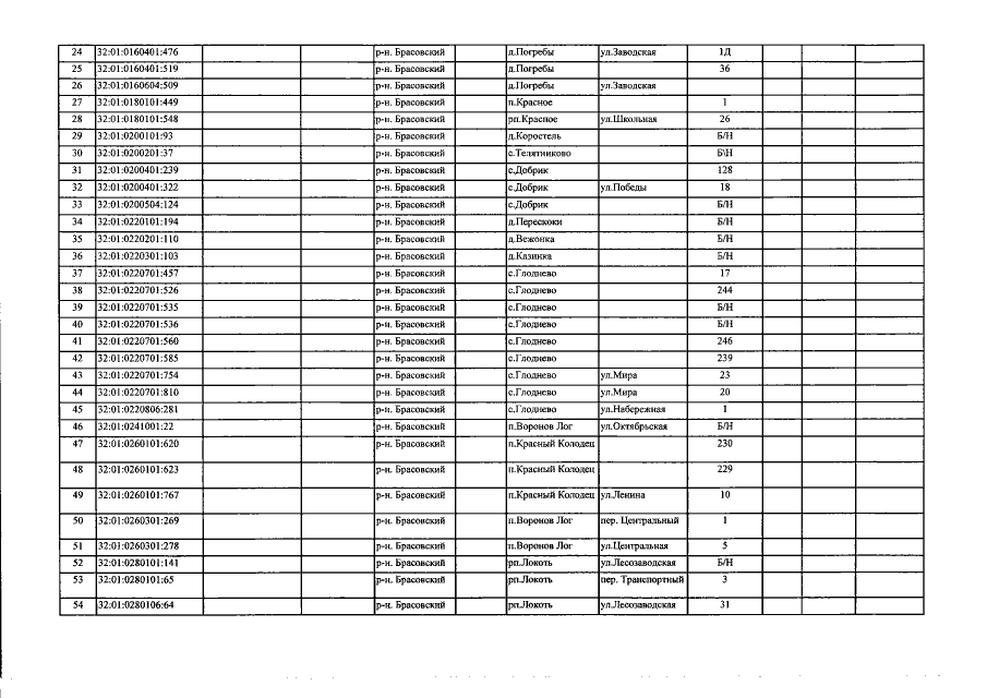
Приказ Управления имущественных отношений Брянской области от 23.01.2019 № 104
"О внесении изменений в приказ от 26.10.2016 №1248 "Об определении перечня объектов недвижимого имущества, расположенных на территории Брасовского района Брянской области, в отношении которых в 2017 году налоговая база определяется как их кадастровая стоимость"
Номер опубликования: 3201201901280007
Дата опубликования: 28.01.2019
Страница №4 из 11:
Увеличить