Официальное опубликование правовых актов
ОФИЦИАЛЬНОЕ ОПУБЛИКОВАНИЕ
Приказ Управления имущественных отношений Брянской области от 27.11.2018 № 1493
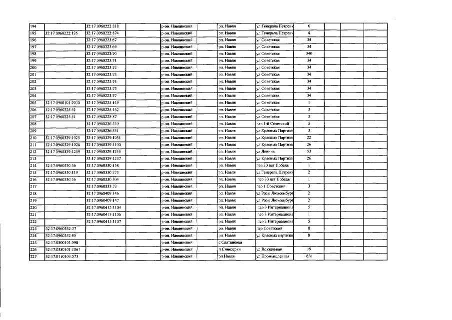
"О внесении изменений в приказ от 27.11.2017 №1326 "Об определении перечня объектов недвижимого имущества, расположенных на территории Навлинского района Брянской области, в отношении которых в 2018 году налоговая база определяется как их кадастровая стоимость"
Номер опубликования: 3201201812030015
Дата опубликования: 03.12.2018
Страница №9 из 15:
Увеличить