Официальное опубликование правовых актов
ОФИЦИАЛЬНОЕ ОПУБЛИКОВАНИЕ
Приказ Управления имущественных отношений Брянской области от 01.11.2018 № 1323
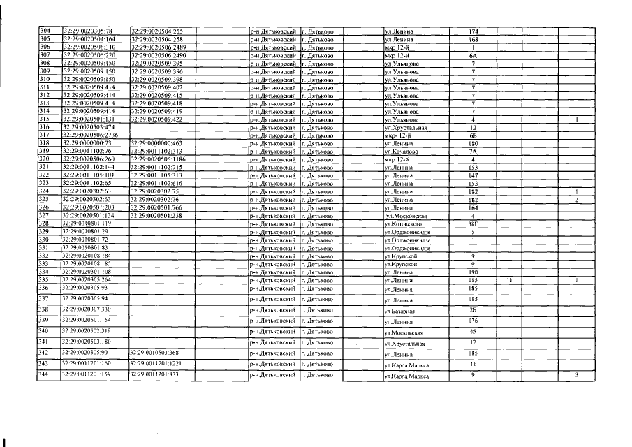
"О внесении изменений в приказ от 27.11.2017 №1344 "Об определении Перечня объектов недвижимого имущества, расположенных на территории города Дятьково Брянской области, в отношении которых в 2018 году налоговая база определяется как их кадастровая стоимость"
Номер опубликования: 3201201811070001
Дата опубликования: 07.11.2018
Страница №10 из 14:
Увеличить