Приказ Управления имущественных отношений Брянской области от 23.08.2018 № 1074
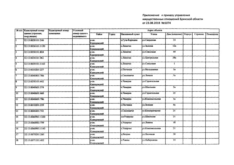
"О внесении изменений в приказ от 26.10.2016 №1265 "Об определении перечня объектов недвижимого имущества, расположенных на территории Клинцовского района Брянской области, в отношении которых в 2017 году налоговая база определяется как их кадастровая стоимость"
"О внесении изменений в приказ от 26.10.2016 №1265 "Об определении перечня объектов недвижимого имущества, расположенных на территории Клинцовского района Брянской области, в отношении которых в 2017 году налоговая база определяется как их кадастровая стоимость"
Номер опубликования: 3201201808290003
Дата опубликования:
29.08.2018
