Официальное опубликование правовых актов
ОФИЦИАЛЬНОЕ ОПУБЛИКОВАНИЕ
Приказ Управления имущественных отношений Брянской области от 05.06.2018 № 743
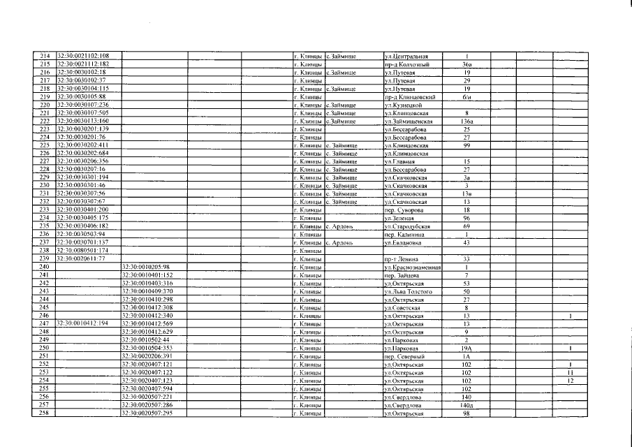
"О внесении изменений в приказ от 27.11.2017 №1343 "Об определении перечня объектов недвижимого имущества, расположенных на территории города Клинцы Брянской области, в отношении которых в 2018 году налоговая база определяется как их кадастровая стоимость"
Номер опубликования: 3201201806090001
Дата опубликования: 09.06.2018
Страница №8 из 18:
Увеличить