Официальное опубликование правовых актов
ОФИЦИАЛЬНОЕ ОПУБЛИКОВАНИЕ
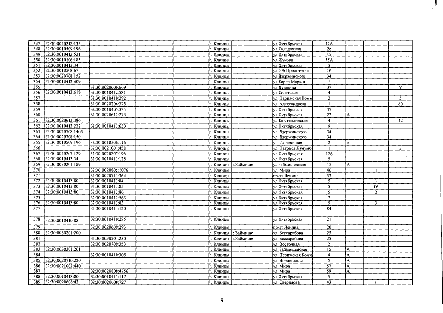
Приказ Управления имущественных отношений Брянской области от 02.04.2018 № 496
"О внесении изменений в приказ от 27.11.2017 №1343 "Об определении перечня объектов недвижимого имущества, расположенных на территории города Клинцы Брянской области, в отношении которых в 2018 году налоговая база определяется как их кадастровая стоимость"
Номер опубликования: 3201201804040007
Дата опубликования: 04.04.2018
Страница №11 из 18:
Увеличить