Официальное опубликование правовых актов
ОФИЦИАЛЬНОЕ ОПУБЛИКОВАНИЕ
Приказ Управления имущественных отношений Брянской области от 02.04.2018 № 498
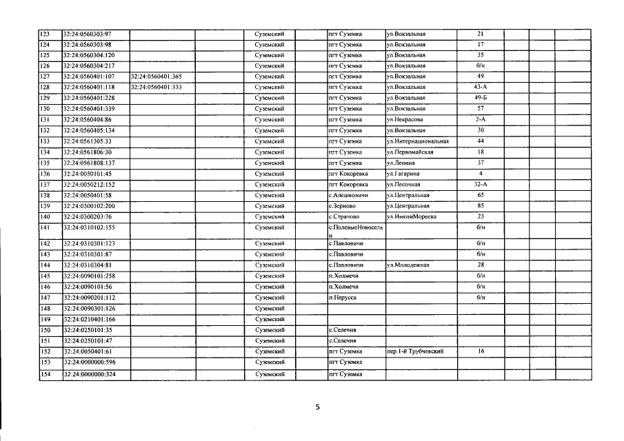
"О внесении изменений в приказ от 27.11.2017 №1319 "Об определении перечня объектов недвижимого имущества, расположенных на территории Суземского района Брянской области, в отношении которых в 2018 году налоговая база определяется как их кадастровая стоимость"
Номер опубликования: 3201201804040006
Дата опубликования: 04.04.2018
Страница №7 из 8:
Увеличить