Официальное опубликование правовых актов
ОФИЦИАЛЬНОЕ ОПУБЛИКОВАНИЕ
Приказ Управления имущественных отношений Брянской области от 05.03.2018 № 333
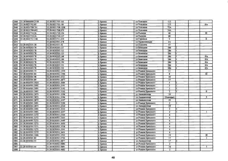
"О внесении изменений в приказ от 27.11.2017 №1314 "Об определении перечня объектов недвижимого имущества, расположенных на территории города Брянска Брянской области, в отношении которых в 2018 году налоговая база определяется как их кадастровая стоимость"
Номер опубликования: 3201201803130002
Дата опубликования: 13.03.2018
Страница №50 из 159:
Увеличить