Официальное опубликование правовых актов
ОФИЦИАЛЬНОЕ ОПУБЛИКОВАНИЕ
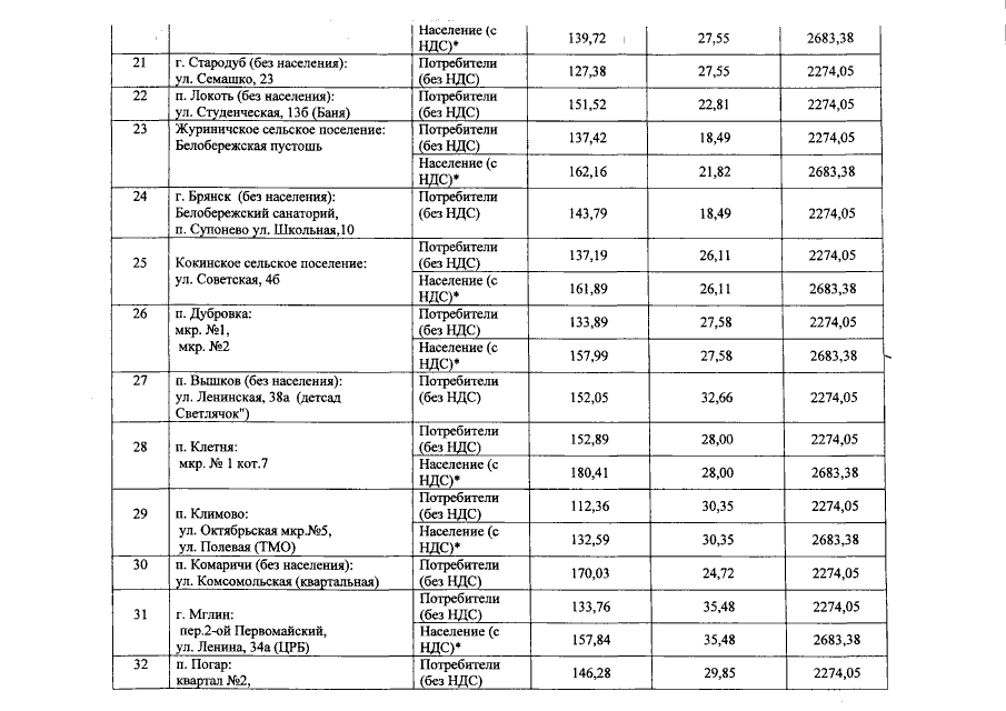
Приказ Управления государственного регулирования тарифов Брянской области от 20.12.2017 № 40/3-гвс
"О тарифах на горячую воду"
Номер опубликования: 3201201712260009
Дата опубликования: 26.12.2017
Страница №38 из 53:
Увеличить