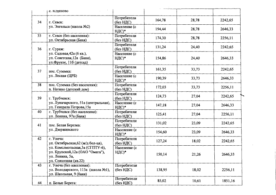
Приказ Управления государственного регулирования тарифов Брянской области от 20.12.2017 № 40/3-гвс
"О тарифах на горячую воду"
"О тарифах на горячую воду"
Номер опубликования: 3201201712260009
Дата опубликования:
26.12.2017
