Официальное опубликование правовых актов
ОФИЦИАЛЬНОЕ ОПУБЛИКОВАНИЕ
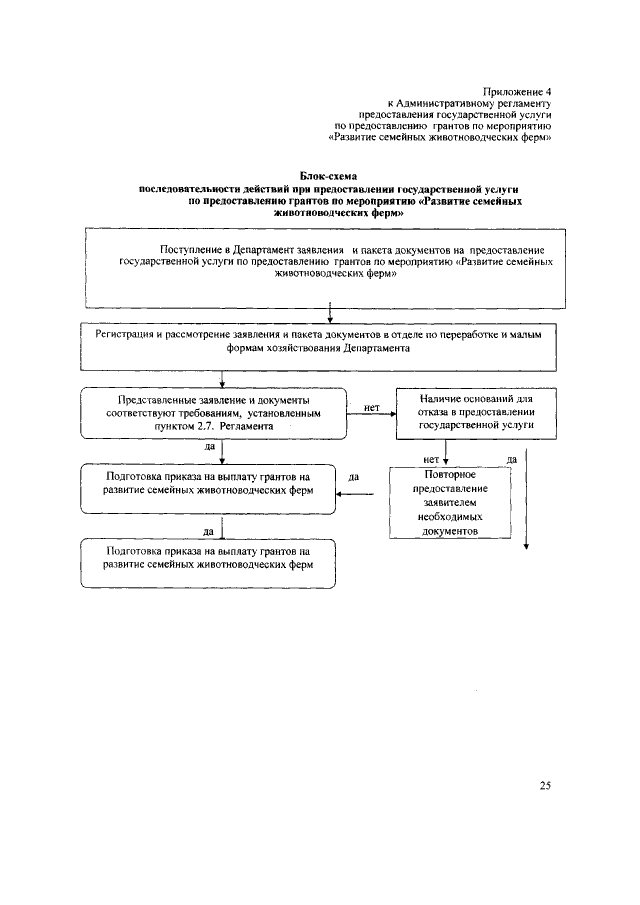
Приказ Департамента сельского хозяйства Брянской области от 07.12.2017 № 322
"Об утверждении административного регламента предоставления государственной услуги по предоставлению грантов по мероприятию "Развитие семейных животноводческих ферм"
Номер опубликования: 3201201712080004
Дата опубликования: 08.12.2017
Страница №26 из 26:
Увеличить