Приказ Управления имущественных отношений Брянской области от 24.11.2017 № 1294
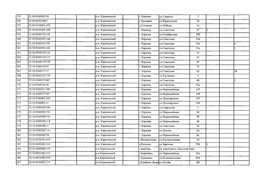
"О внесении изменений в приказ от 26.10.2016 №1262 "Об определении Перечня объектов недвижимого имущества, расположенных на территории Карачевского района Брянской области, в отношении которых в 2017 году налоговая база определяется как их кадастровая стоимость"
"О внесении изменений в приказ от 26.10.2016 №1262 "Об определении Перечня объектов недвижимого имущества, расположенных на территории Карачевского района Брянской области, в отношении которых в 2017 году налоговая база определяется как их кадастровая стоимость"
Номер опубликования: 3201201711300044
Дата опубликования:
30.11.2017
