Официальное опубликование правовых актов
ОФИЦИАЛЬНОЕ ОПУБЛИКОВАНИЕ
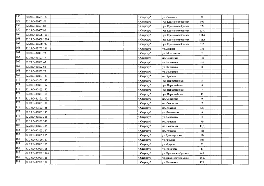
Приказ Управления имущественных отношений Брянской области от 27.11.2017 № 1340
"Об определении перечня объектов недвижимого имущества, расположенных на территории города Стародуба Брянской области, в отношении которых в 2018 году налоговая база определяется как их кадастровая стоимость"
Номер опубликования: 3201201711300020
Дата опубликования: 30.11.2017
Страница №8 из 9:
Увеличить