Официальное опубликование правовых актов
ОФИЦИАЛЬНОЕ ОПУБЛИКОВАНИЕ
Приказ Управления имущественных отношений Брянской области от 24.11.2017 № 1295
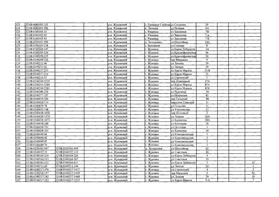
"О внесении изменений в приказ от 26.10.2016 №1260 "Об определении перечня объектов недвижимого имущества, расположенных на территории Жуковского района Брянской области, в отношении которых в 2017 году налоговая база определяется как их кадастровая стоимость"
Номер опубликования: 3201201711300010
Дата опубликования: 30.11.2017
Страница №6 из 8:
Увеличить