Приказ Управления имущественных отношений Брянской области от 30.10.2017 № 1197
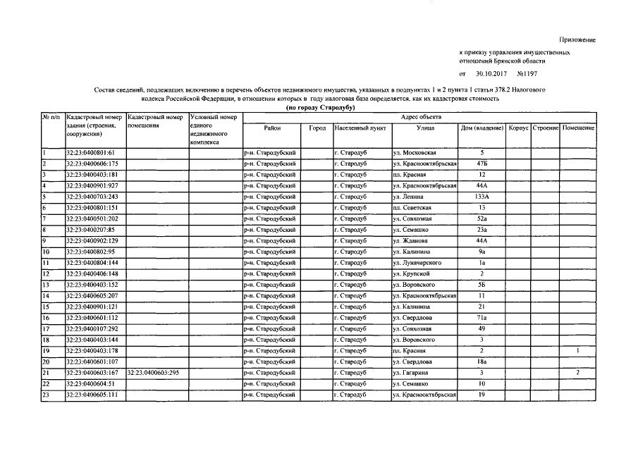
"О внесении изменений в приказ от 26.10.2016 №1255 "Об определении перечня объектов недвижимого имущества, расположенных на территории города Стародуба Брянской области, в отношении которых в 2017 году налоговая база определяется как их кадастровая стоимость"
"О внесении изменений в приказ от 26.10.2016 №1255 "Об определении перечня объектов недвижимого имущества, расположенных на территории города Стародуба Брянской области, в отношении которых в 2017 году налоговая база определяется как их кадастровая стоимость"
Номер опубликования: 3201201711020015
Дата опубликования:
02.11.2017
