Официальное опубликование правовых актов
ОФИЦИАЛЬНОЕ ОПУБЛИКОВАНИЕ
Приказ Департамента природных ресурсов и экологии Брянской области от 26.07.2017 № 619
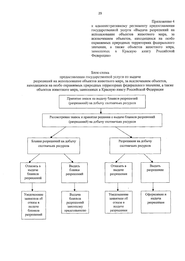
"Об утверждении административного регламента предоставления государственной услуги "Выдача разрешений на использование объектов животного мира, за исключением объектов, находящихся на особо охраняемых природных территориях федерального значения, а также объектов животного мира, занесенных в Красную книгу Российской Федерации" и о признании утратившими силу приказов департамента природных ресурсов и экологии Брянской области"
Номер опубликования: 3201201708020001
Дата опубликования: 02.08.2017
Страница №31 из 31:
Увеличить