Официальное опубликование правовых актов
ОФИЦИАЛЬНОЕ ОПУБЛИКОВАНИЕ
Приказ Управления имущественных отношений Брянской области от 20.04.2017 № 380
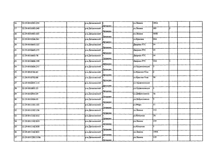
"О внесении изменений в приказ от 26.10.2016 №1251 "Об определении перечня объектов недвижимого имущества, расположенных на территории города Дятьково Брянской области, в отношении которых в 2017 году налоговая база определяется как их кадастровая стоимость"
Номер опубликования: 3201201704280006
Дата опубликования: 28.04.2017
Страница №4 из 20:
Увеличить