Приказ Управления имущественных отношений Брянской области от 03.03.2017 № 178
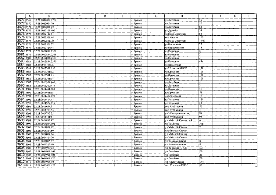
"О внесении изменений в приказ от 26.12.2016 №1573 "О внесении изменений в приказ от 24.11.2016 №1410 "Об определении перечня объектов недвижимого имущества, расположенных на территории города Брянска Брянской области, в отношении которых в 2017 году налоговая база определяется как их кадастровая стоимость"
"О внесении изменений в приказ от 26.12.2016 №1573 "О внесении изменений в приказ от 24.11.2016 №1410 "Об определении перечня объектов недвижимого имущества, расположенных на территории города Брянска Брянской области, в отношении которых в 2017 году налоговая база определяется как их кадастровая стоимость"
Номер опубликования: 3201201703070006
Дата опубликования:
07.03.2017
