Официальное опубликование правовых актов
ОФИЦИАЛЬНОЕ ОПУБЛИКОВАНИЕ
Приказ Управления имущественных отношений Брянской области от 26.12.2016 № 1579
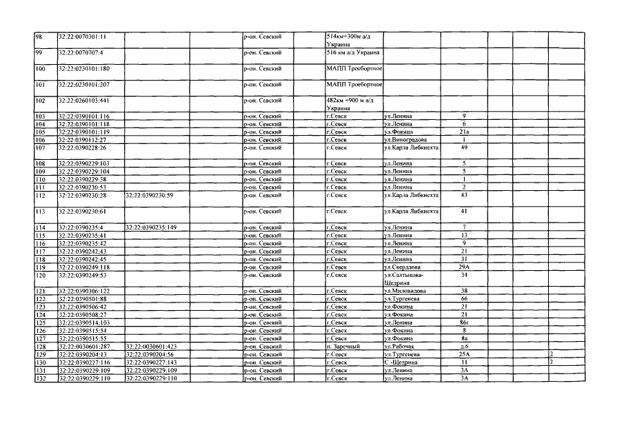
"О внесении изменений в приказ от 26.10.2016 № 1275 "Об определении перечня объектов недвижимого имущества, расположенных на территории Севского района Брянской области, в отношении которых в 2017 году налоговая база определяется как их кадастровая стоимость"
Номер опубликования: 3201201612290007
Дата опубликования: 29.12.2016
Страница №6 из 7:
Увеличить