Официальное опубликование правовых актов
ОФИЦИАЛЬНОЕ ОПУБЛИКОВАНИЕ
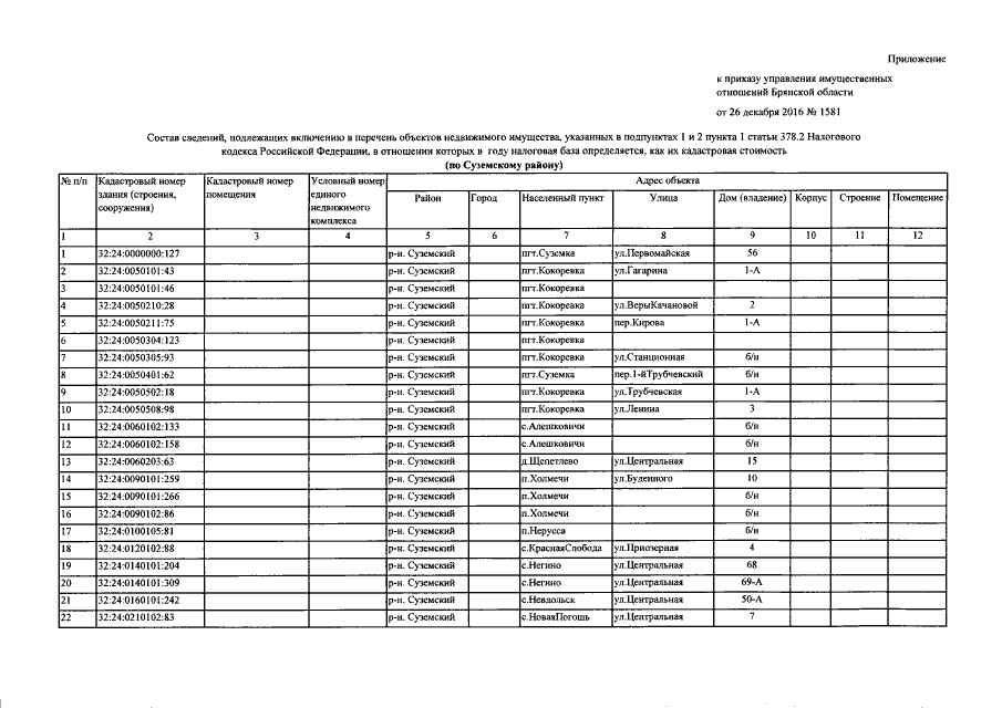
Приказ Управления имущественных отношений Брянской области от 26.12.2016 № 1581
"О внесении изменений в приказ от 26.10.2016 № 1277 "Об определении перечня объектов недвижимого имущества, расположенных на территории Суземского района Брянской области, в отношении которых в 2017 году налоговая база определяется как их кадастровая стоимость"
Номер опубликования: 3201201612290002
Дата опубликования: 29.12.2016
Страница №3 из 8:
Увеличить