Официальное опубликование правовых актов
ОФИЦИАЛЬНОЕ ОПУБЛИКОВАНИЕ
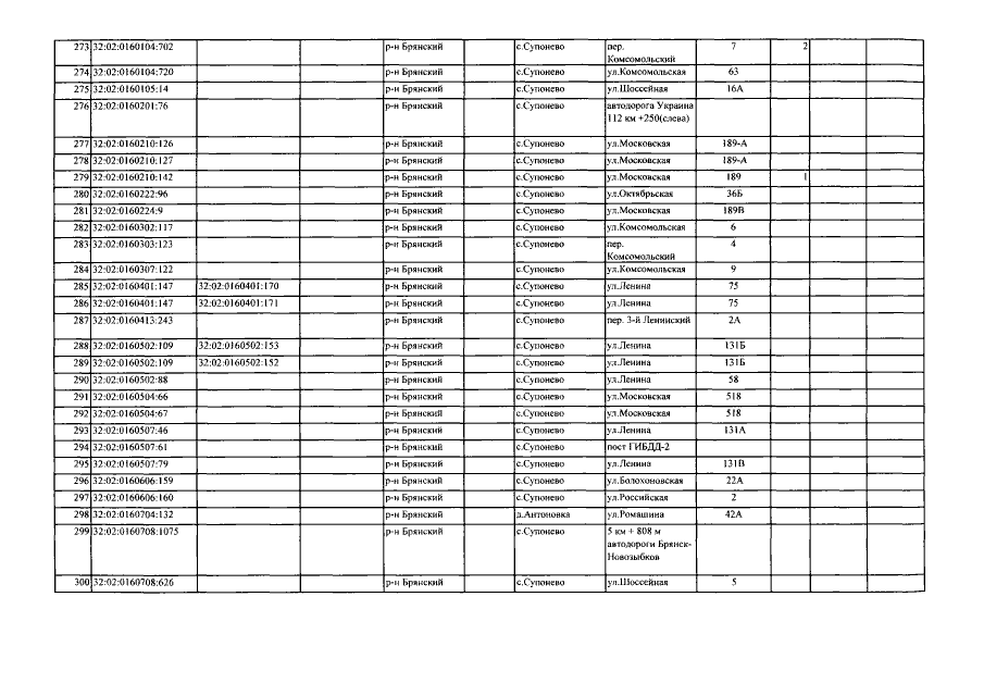
Приказ Управления имущественных отношений Брянской области от 26.12.2016 № 1572
"О внесении изменений в приказ от 26.10.2016 №1249 "Об определении перечня объектов недвижимого имущества, расположенных на территории Брянского района Брянской области, в отношении которых в 2017 году налоговая база определяется как их кадастровая стоимость" (в редакции приказа № 1365 от 18.11.2016)"
Номер опубликования: 3201201612280006
Дата опубликования: 28.12.2016
Страница №14 из 20:
Увеличить