Приказ Управления имущественных отношений Брянской области от 18.11.2016 № 1373
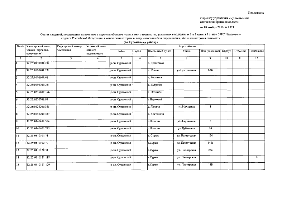
"О внесении изменений в приказ от 26.10.2016 №1278 "Об определении перечня объектов недвижимого имущества, расположенных на территории Суражского района Брянской области, в отношении которых в 2017 году налоговая база определяется как их кадастровая стоимость"
"О внесении изменений в приказ от 26.10.2016 №1278 "Об определении перечня объектов недвижимого имущества, расположенных на территории Суражского района Брянской области, в отношении которых в 2017 году налоговая база определяется как их кадастровая стоимость"
Номер опубликования: 3201201611210006
Дата опубликования:
21.11.2016
