Приказ Управления имущественных отношений Брянской области от 26.10.2016 № 1258
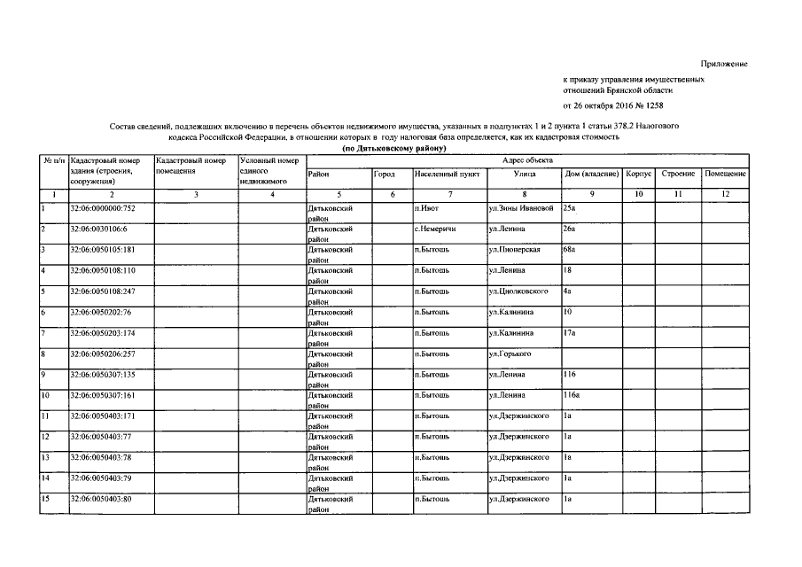
"Об определении перечня объектов недвижимого имущества, расположенных на территории Дятьковского района Брянской области, в отношении которых в 2017 году налоговая база определяется как их кадастровая стоимость"
"Об определении перечня объектов недвижимого имущества, расположенных на территории Дятьковского района Брянской области, в отношении которых в 2017 году налоговая база определяется как их кадастровая стоимость"
Номер опубликования: 3201201610310010
Дата опубликования:
31.10.2016
