Официальное опубликование правовых актов
ОФИЦИАЛЬНОЕ ОПУБЛИКОВАНИЕ
Приказ Управления имущественных отношений Брянской области от 26.11.2015 № 1871
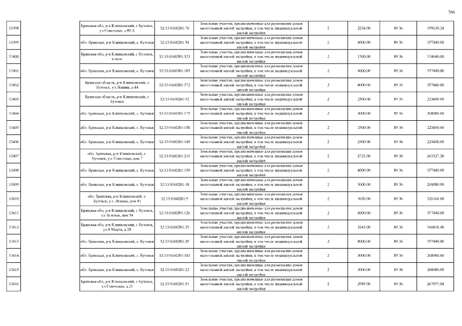
"Об утверждении результатов определения кадастровой стоимости земельных участков, относящихся к категории земель населённых пунктов, расположенных на территории муниципального района "Клинцовский"
Номер опубликования: 3201201511270012
Дата опубликования: 27.11.2015
Страница №768 из 798:
Увеличить