Официальное опубликование правовых актов
ОФИЦИАЛЬНОЕ ОПУБЛИКОВАНИЕ
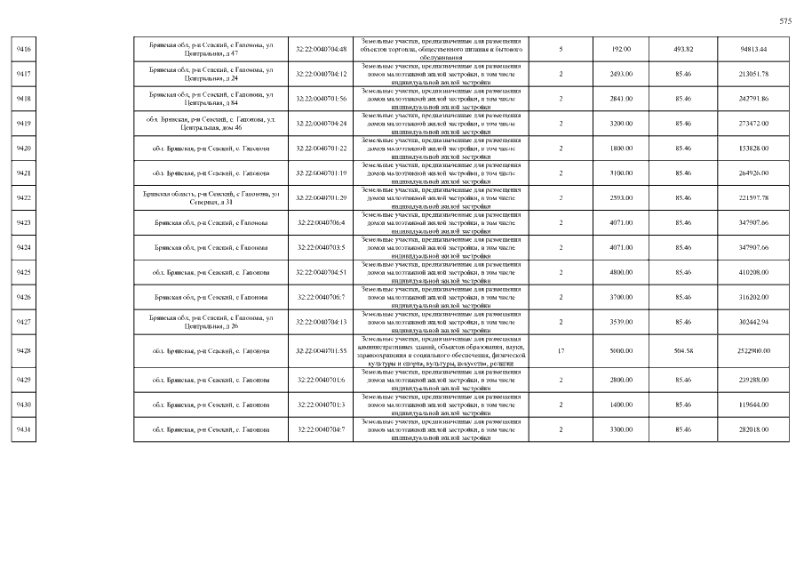
Приказ Управления имущественных отношений Брянской области от 26.11.2015 № 1880
"Об утверждении результатов определения кадастровой стоимости земельных участков, относящихся к категории земель населённых пунктов, расположенных на территории муниципального района "Севский"
Номер опубликования: 3201201511270009
Дата опубликования: 27.11.2015
Страница №577 из 610:
Увеличить