Приказ Управления имущественных отношений Брянской области от 26.11.2015 № 1864
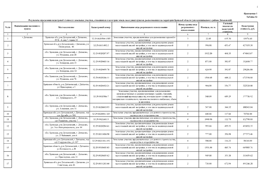
"Об утверждении результатов определения кадастровой стоимости земельных участков, относящихся к категории земель населённых пунктов, расположенных на территории муниципального района "Дятьковский"
"Об утверждении результатов определения кадастровой стоимости земельных участков, относящихся к категории земель населённых пунктов, расположенных на территории муниципального района "Дятьковский"
Номер опубликования: 3201201511270008
Дата опубликования:
27.11.2015
