Официальное опубликование правовых актов
ОФИЦИАЛЬНОЕ ОПУБЛИКОВАНИЕ
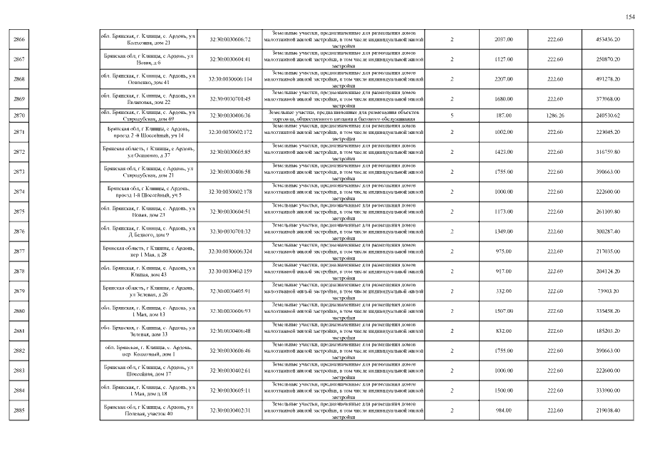
Приказ Управления имущественных отношений Брянской области от 26.11.2015 № 1854
"Об утверждении результатов определения кадастровой стоимости земельных участков, относящихся к категории земель населенных пунктов, расположенных на территории городского округа "Город Клинцы"
Номер опубликования: 3201201511270007
Дата опубликования: 27.11.2015
Страница №156 из 1194:
Увеличить