Приказ Управления имущественных отношений Брянской области от 26.11.2015 № 1858
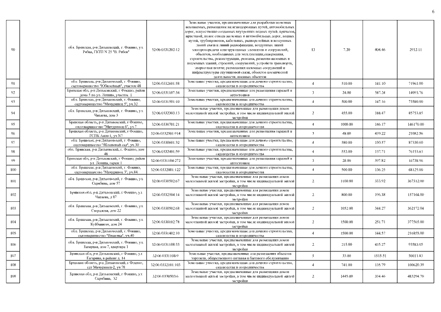
"Об утверждении результатов определения кадастровой стоимости земельных участков, относящихся к категории земель населённых пунктов, расположенных на территории городского округа "Город Фокино"
"Об утверждении результатов определения кадастровой стоимости земельных участков, относящихся к категории земель населённых пунктов, расположенных на территории городского округа "Город Фокино"
Номер опубликования: 3201201511260004
Дата опубликования:
26.11.2015
