Официальное опубликование правовых актов
ОФИЦИАЛЬНОЕ ОПУБЛИКОВАНИЕ
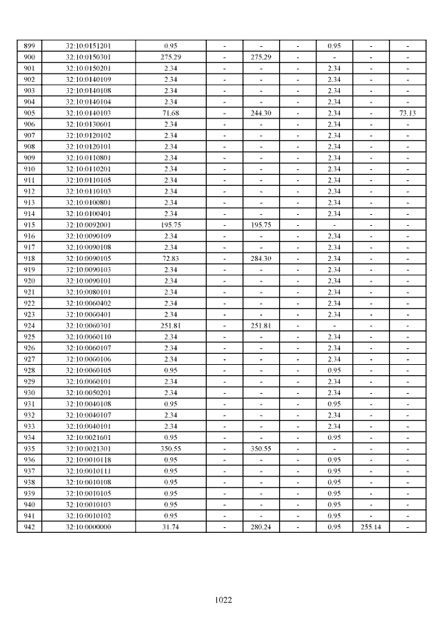
Приказ Управления имущественных отношений Брянской области от 26.11.2015 № 1852
"Об утверждении результатов определения кадастровой стоимости земельных участков, относящихся к категории земель промышленности и иного специального назначения, расположенных на территории Брянской области"
Номер опубликования: 3201201511260002
Дата опубликования: 26.11.2015
Страница №1024 из 1074:
Увеличить