Официальное опубликование правовых актов
ОФИЦИАЛЬНОЕ ОПУБЛИКОВАНИЕ
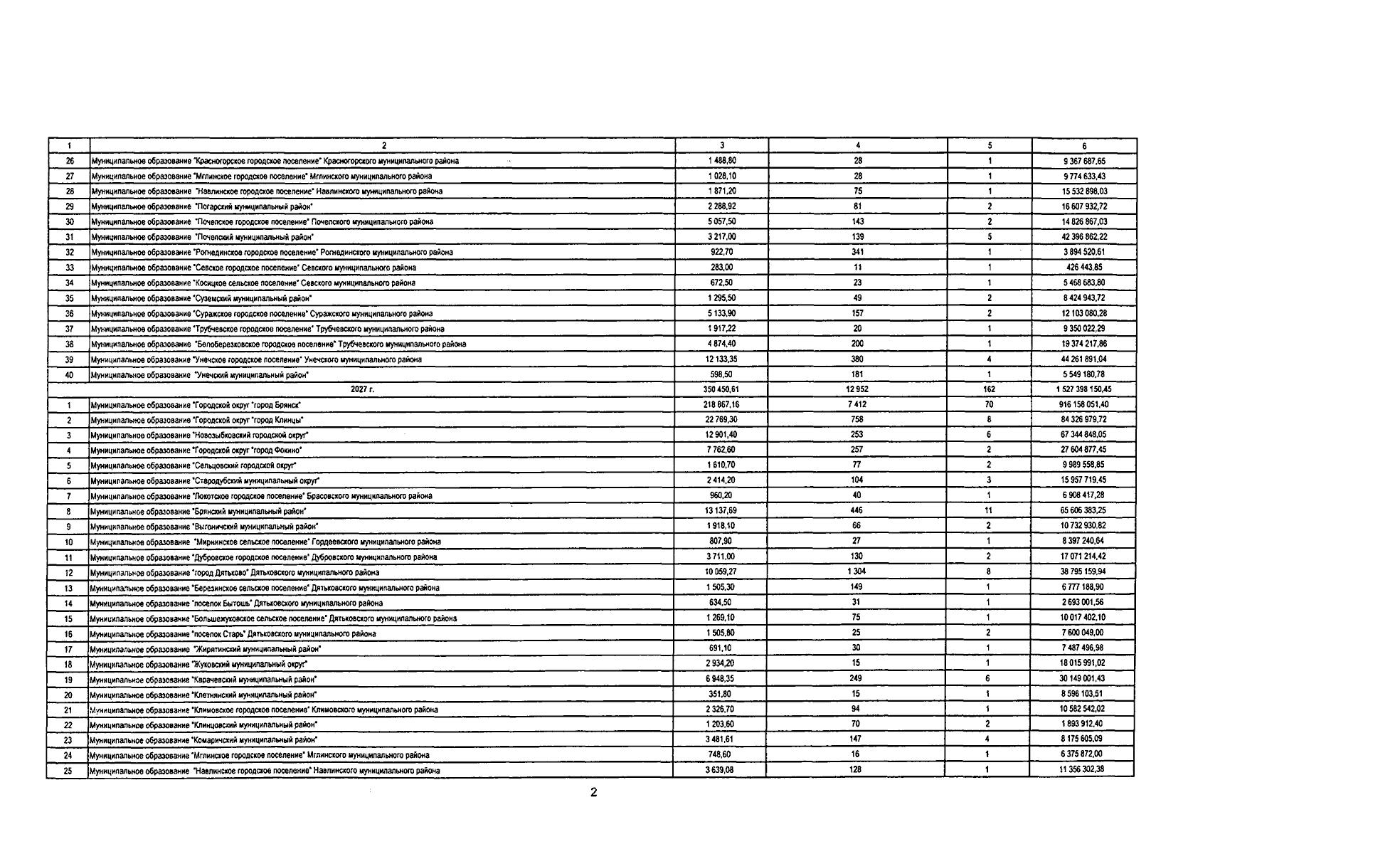
Постановление Правительства Брянской области от 24.11.2025 № 600-п
"О внесении изменений в краткосрочный (2026 — 2028 годы) план реализации региональной программы "Проведение капитального ремонта общего имущества многоквартирных домов на территории Брянской области" (2014 — 2052 годы)"
Номер опубликования: 3200202511280011
Дата опубликования: 28.11.2025
Страница №69 из 71:
Увеличить