Официальное опубликование правовых актов
ОФИЦИАЛЬНОЕ ОПУБЛИКОВАНИЕ
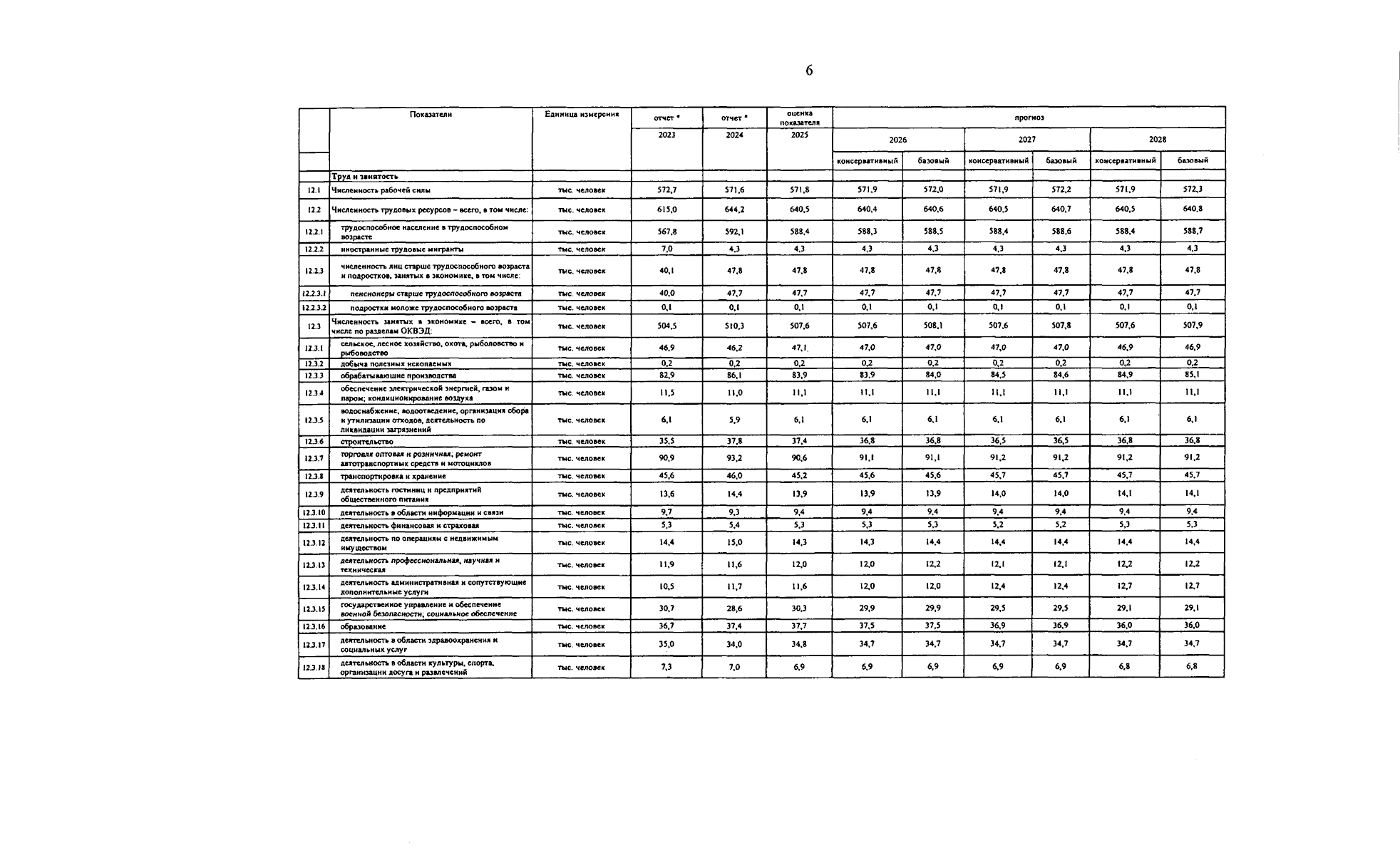
Распоряжение Правительства Брянской области от 28.10.2025 № 355-рп
"Об одобрении прогноза социально-экономического развития Брянской области на 2026 год и на плановый период 2027 и 2028 годов"
Номер опубликования: 3200202511010004
Дата опубликования: 01.11.2025
Страница №7 из 8:
Увеличить