Официальное опубликование правовых актов
ОФИЦИАЛЬНОЕ ОПУБЛИКОВАНИЕ
Постановление Правительства Брянской области от 29.08.2025 № 457-п
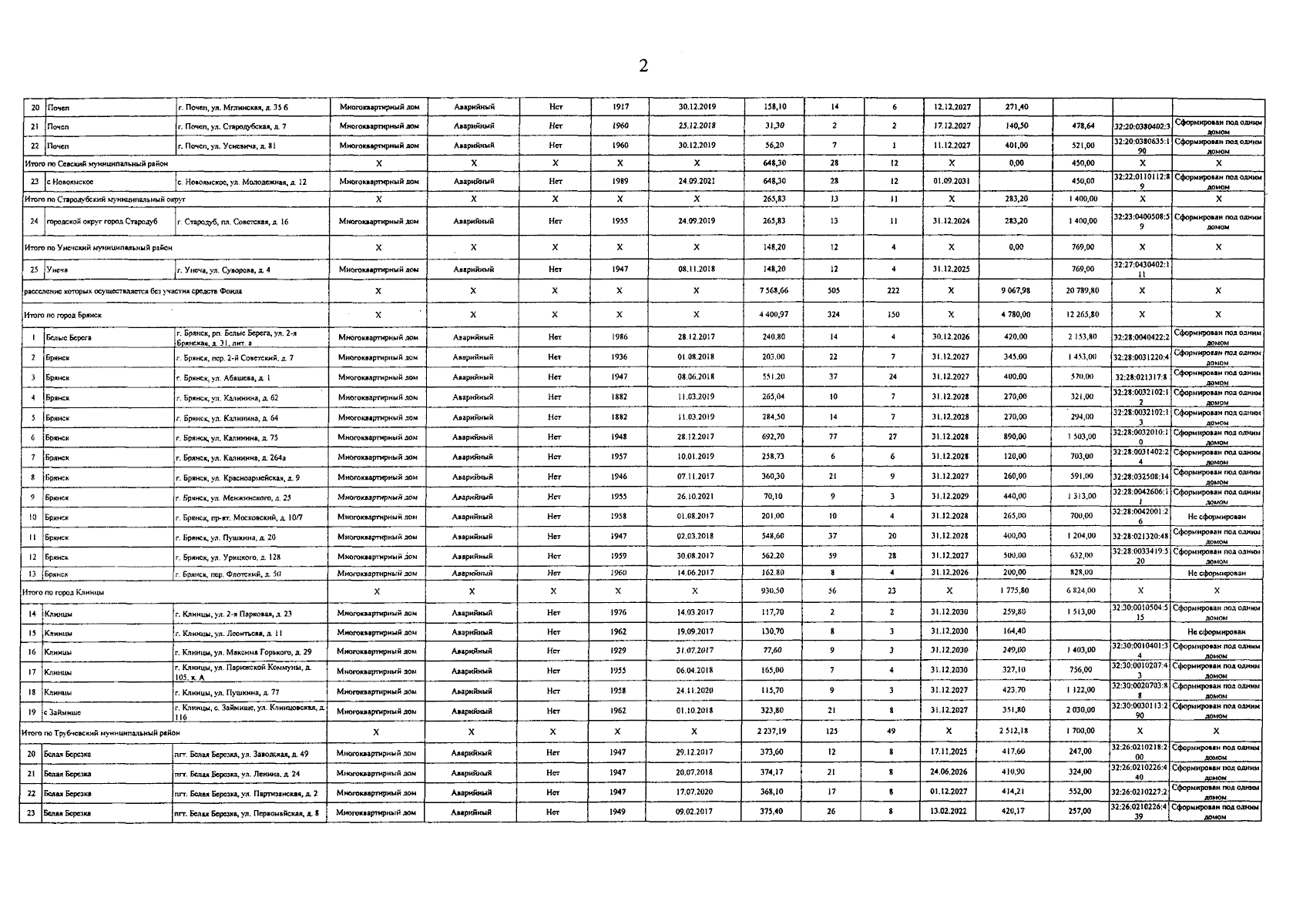
"О внесении изменений в постановление Правительства Брянской области от 28 июля 2025 года № 398-п "Об утверждении региональной адресной программы "Переселение граждан из аварийного жилищного фонда на территории Брянской области" (2025 — 2030 годы)"
Номер опубликования: 3200202509040002
Дата опубликования: 04.09.2025
Страница №26 из 33:
Увеличить