Официальное опубликование правовых актов
ОФИЦИАЛЬНОЕ ОПУБЛИКОВАНИЕ
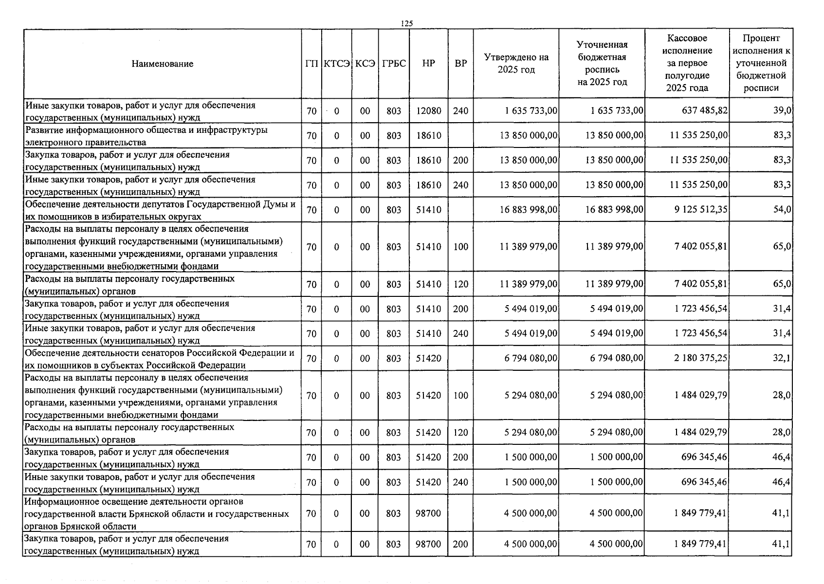
Постановление Правительства Брянской области от 28.07.2025 № 396-п
"Об утверждении отчета об исполнении областного бюджета за первое полугодие 2025 года"
Номер опубликования: 3200202508040022
Дата опубликования: 04.08.2025
Страница №306 из 319:
Увеличить