Официальное опубликование правовых актов
ОФИЦИАЛЬНОЕ ОПУБЛИКОВАНИЕ
Постановление Правительства Брянской области от 28.07.2025 № 395-п
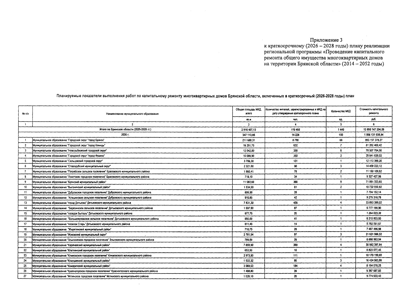
"Об утверждении краткосрочного (2026 — 2028 годы) плана реализации региональной программы "Проведение капитального ремонта общего имущества многоквартирных домов на территории Брянской области" (2014 — 2052 годы)"
Номер опубликования: 3200202508040018
Дата опубликования: 04.08.2025
Страница №66 из 69:
Увеличить