Официальное опубликование правовых актов
ОФИЦИАЛЬНОЕ ОПУБЛИКОВАНИЕ
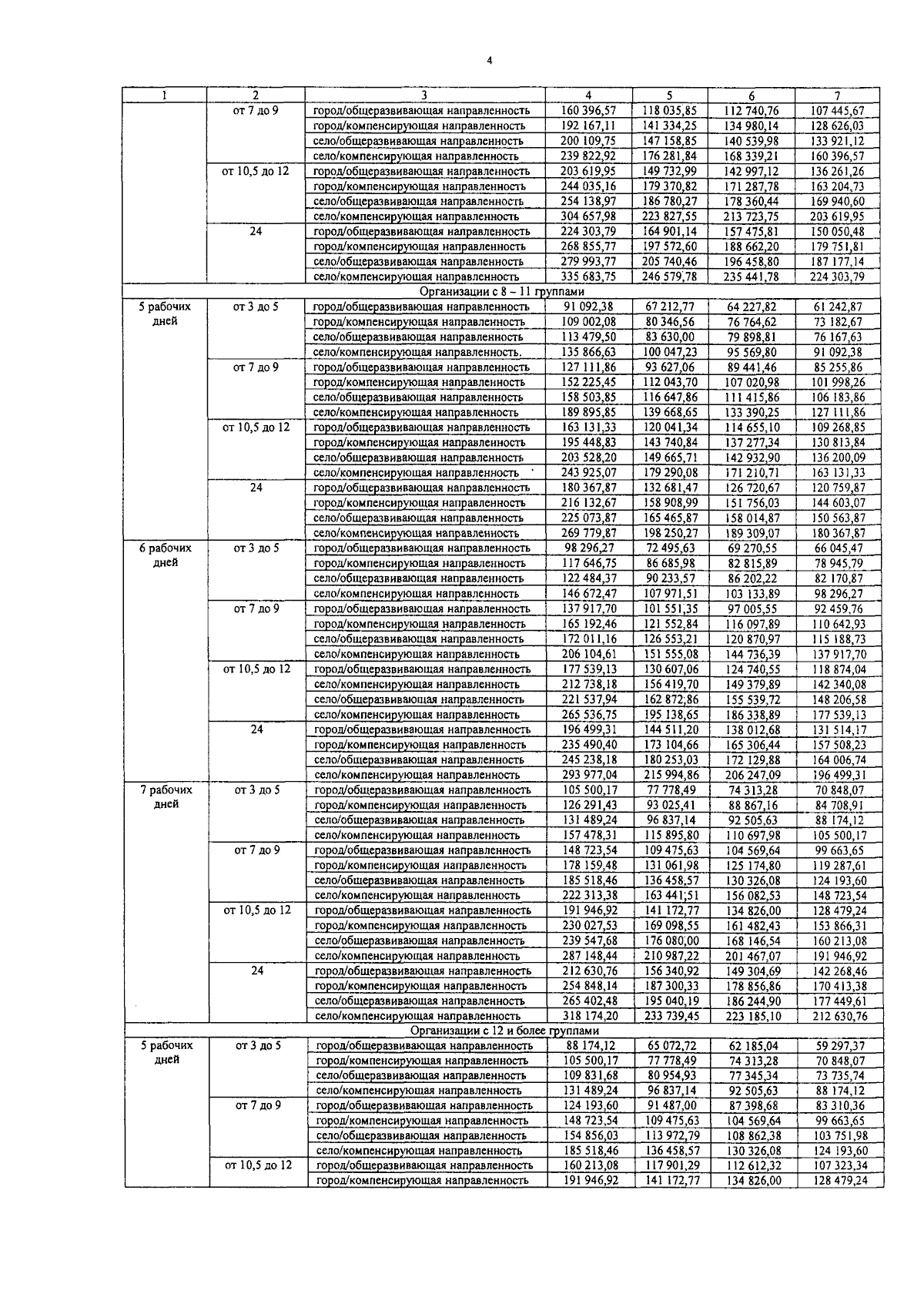
Постановление Правительства Брянской области от 14.07.2025 № 361-п
"О нормативах обеспечения государственных гарантий реализации прав на получение общедоступного и бесплатного дошкольного образования в образовательных организациях на 2025 — 2027 годы и методике их определения"
Номер опубликования: 3200202507210013
Дата опубликования: 21.07.2025
Страница №11 из 12:
Увеличить