Распоряжение Губернатора Брянской области от 30.06.2025 № 610-рг
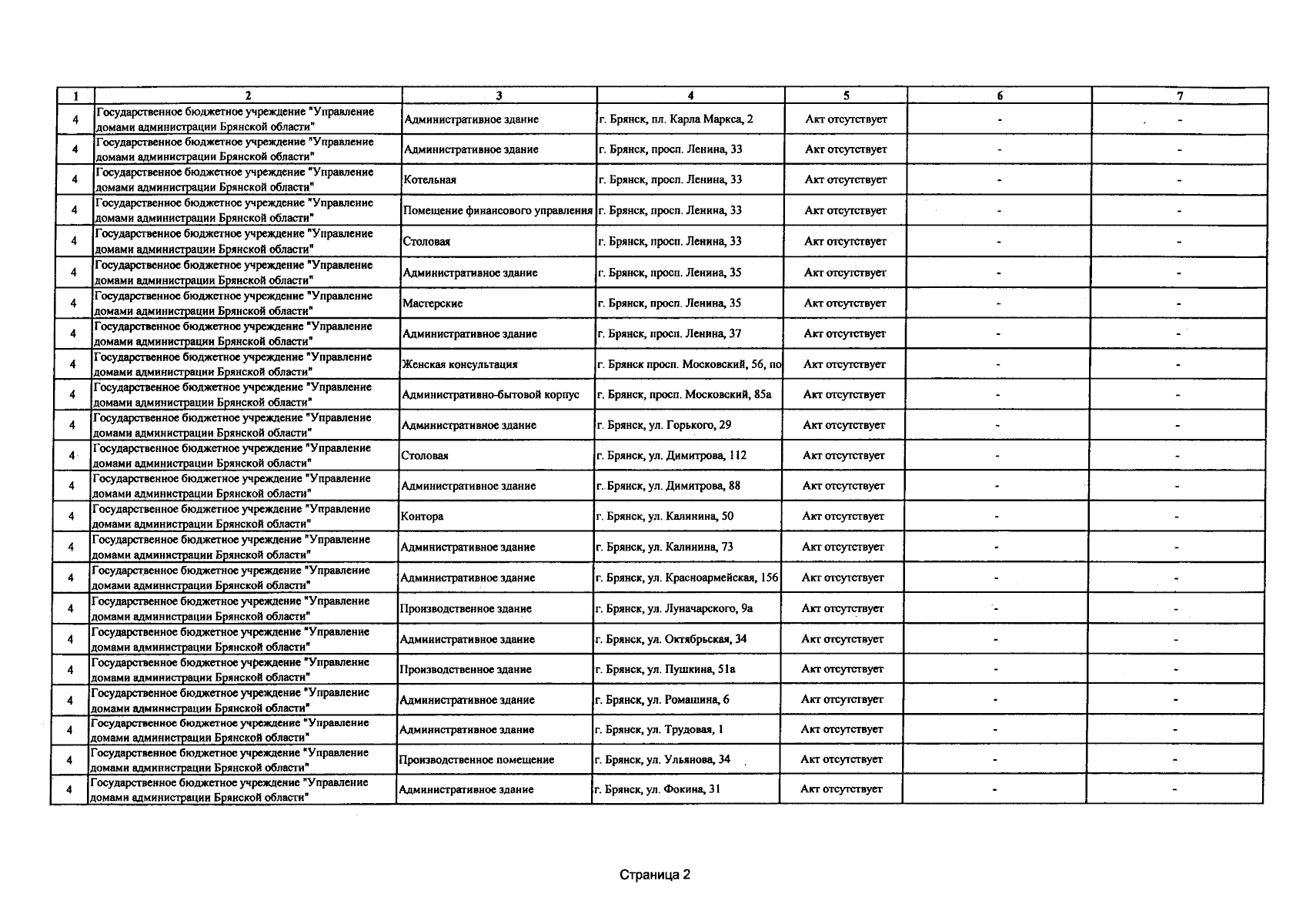
"Об утверждении перечня потребителей электрической энергии (мощности), ограничение режима потребления электрической энергии которых может привести к экономическим, экологическим, социальным последствиям на территории Брянской области"
"Об утверждении перечня потребителей электрической энергии (мощности), ограничение режима потребления электрической энергии которых может привести к экономическим, экологическим, социальным последствиям на территории Брянской области"
Номер опубликования: 3200202507040010
Дата опубликования:
04.07.2025
