Официальное опубликование правовых актов
ОФИЦИАЛЬНОЕ ОПУБЛИКОВАНИЕ
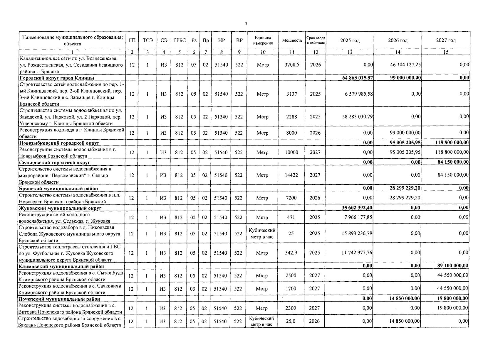
Постановление Правительства Брянской области от 24.03.2025 № 145-п
"О внесении изменений в перечень объектов капитальных вложений муниципальной собственности региональной адресной инвестиционной программы на 2025 — 2027 годы"
Номер опубликования: 3200202503260004
Дата опубликования: 26.03.2025
Страница №5 из 15:
Увеличить