Официальное опубликование правовых актов
ОФИЦИАЛЬНОЕ ОПУБЛИКОВАНИЕ
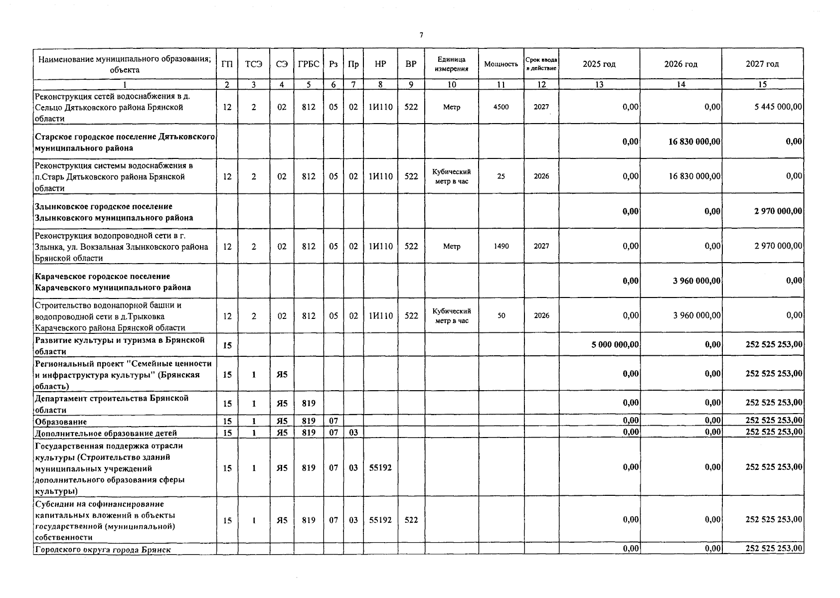
Постановление Правительства Брянской области от 23.12.2024 № 715-п
"Об утверждении перечня объектов бюджетных инвестиций государственной собственности региональной адресной инвестиционной программы на 2025 — 2027 годы, перечня объектов капитальных вложений муниципальной собственности региональной адресной инвестиционной программы на 2025 — 2027 годы, перечня объектов недвижимого имущества региональной адресной инвестиционной программы на 2025 — 2027 годы, приобретаемого в государственную собственность Брянской области, и перечня объектов недвижимого имущества региональной адресной инвестиционной программы на 2025 — 2027 годы, приобретаемого в муниципальную собственность"
Номер опубликования: 3200202412300022
Дата опубликования: 30.12.2024
Страница №14 из 25:
Увеличить