Официальное опубликование правовых актов
ОФИЦИАЛЬНОЕ ОПУБЛИКОВАНИЕ
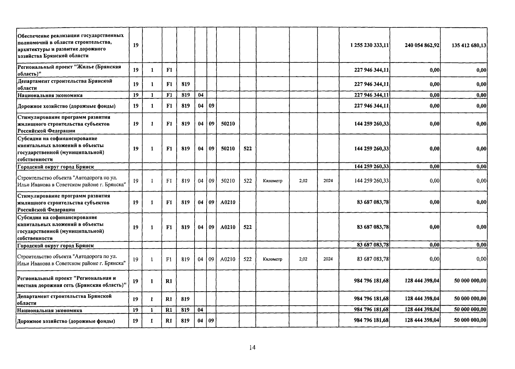
Постановление Правительства Брянской области от 28.11.2024 № 587-п
"О внесении изменений в постановление Правительства Брянской области от 7 декабря 2023 года № 631-п"
Номер опубликования: 3200202411290011
Дата опубликования: 29.11.2024
Страница №18 из 22:
Увеличить