Официальное опубликование правовых актов
ОФИЦИАЛЬНОЕ ОПУБЛИКОВАНИЕ
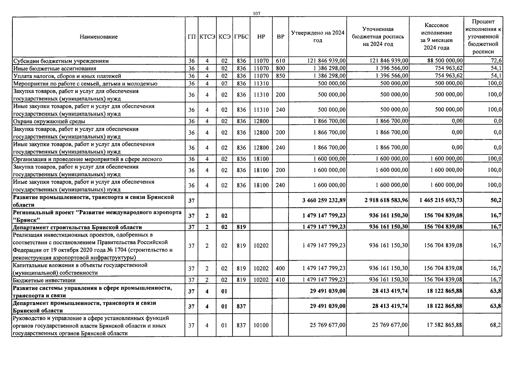
Постановление Правительства Брянской области от 21.10.2024 № 509-п
"Об утверждении отчета об исполнении областного бюджета за 9 месяцев 2024 года"
Номер опубликования: 3200202410250001
Дата опубликования: 25.10.2024
Страница №296 из 329:
Увеличить