Официальное опубликование правовых актов
ОФИЦИАЛЬНОЕ ОПУБЛИКОВАНИЕ
Постановление Правительства Брянской области от 14.06.2024 № 250-п
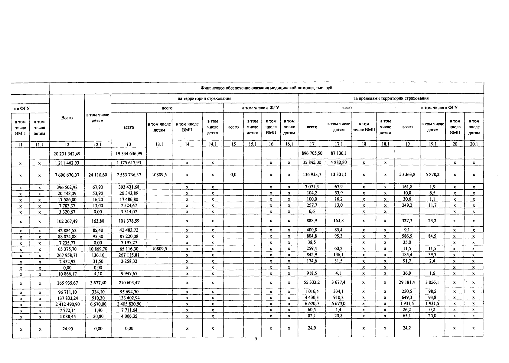
"О внесении изменений в постановление Правительства Брянской области от 26 декабря 2023 года № 744-п "О территориальной программе государственных гарантий бесплатного оказания гражданам медицинской помощи на 2024 год и на плановый период 2025 и 2026 годов"
Номер опубликования: 3200202406180002
Дата опубликования: 18.06.2024
Страница №153 из 158:
Увеличить