Официальное опубликование правовых актов
ОФИЦИАЛЬНОЕ ОПУБЛИКОВАНИЕ
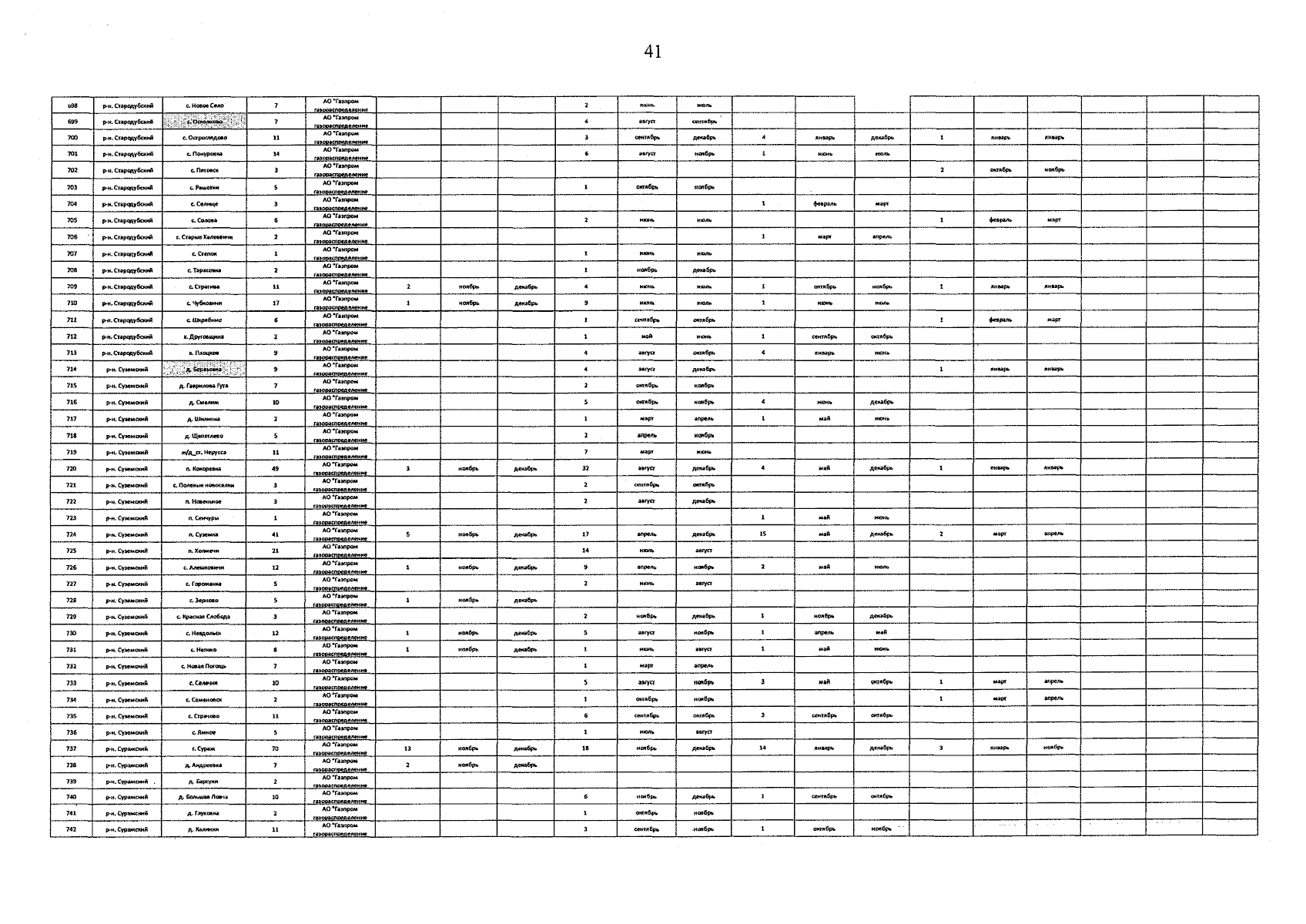
Распоряжение Губернатора Брянской области от 21.03.2024 № 253-рг
"О внесении изменений в региональную программу газификации жилищно-коммунального хозяйства, промышленных и иных организаций Брянской области на 2022 — 2031 годы"
Номер опубликования: 3200202403250002
Дата опубликования: 25.03.2024
Страница №42 из 194:
Увеличить