Постановление Правительства Брянской области от 26.02.2024 № 53-п
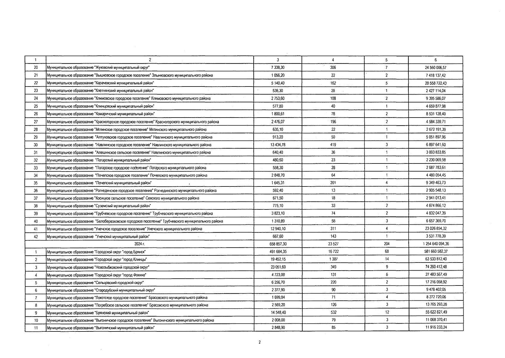
"О внесении изменений в краткосрочный (2023 — 2025 годы) план реализации региональной программы "Проведение капитального ремонта общего имущества многоквартирных домов на территории Брянской области" (2014 — 2043 годы)"
"О внесении изменений в краткосрочный (2023 — 2025 годы) план реализации региональной программы "Проведение капитального ремонта общего имущества многоквартирных домов на территории Брянской области" (2014 — 2043 годы)"
Номер опубликования: 3200202403010002
Дата опубликования:
01.03.2024
