Официальное опубликование правовых актов
ОФИЦИАЛЬНОЕ ОПУБЛИКОВАНИЕ
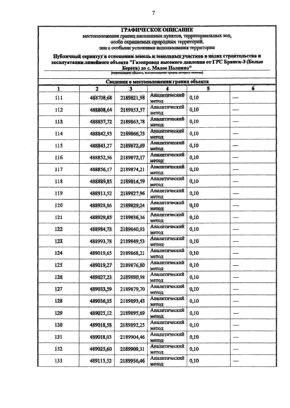
Постановление Правительства Брянской области от 19.02.2024 № 42-п
"Об установлении публичного сервитута"
Номер опубликования: 3200202402260002
Дата опубликования: 26.02.2024
Страница №11 из 68:
Увеличить